名刺基板は以前にも作っているのですが,ノイズ(推定)で正常に動作しない基板が多く,課題が残りました.
そこで,今回は練習も兼ねてRP2040を利用したRaspberry Pi Pico互換基板の試作を行います.
本記事は連載「マイコン名刺制作録」の第2回です.前回の記事はこちら.
RP2040の駆動に必要なもの
RP2040に必要なものはRaspberry Pi財団の出しているデータシートからも伺う事が可能です.
公式のデータシートのページ$^{(3)}$から,最小構成のKiCad形式のファイル(Minimal-KiCAD.zip)をダウンロードしてきます.
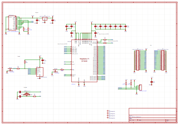
その中のRP2040_minimal_r2-sch.pdfを開くと,以下のような回路構成であることが分かります.

Raspberry Pi Picoやこちらの構成では電源および書き込み用コネクタにUSB Micro-Bを使用していますが,知っての通り現在USB Micro-Bを使う人はほとんどおりません.これを受け,最小構成基板の電源供給&通信ラインをUSB Type-Cに変更します.
EasyEDAを使う
配布されているファイルはKiCad用なので,KiCadから加工を行うのが正道ですが,今回はJLCPCBから提供されているオンラインサービスEasyEDAを用います.
学生であるという身分上移動が多く,家で腰を据えて作業できる時間が少ない私には非常に助かります.また,今回私はJLCPCBのPCBA(Assembly)という基板組み立てサービスを利用するつもりなので,同サービスに最初から連携されているこのサービスは適任でしょう.
EasyEDAのサイトからDesing Onlineを選択すると,Pro EditionとStd Editionのどちらで進めるか聞かれます.先駆者に倣い,筆者はPro Editionを選択して進めます.Pro EditionとStd Editionでは内容がかなり異なるようです$^{(7)}$.
諸々の設定を終えると,New Projectなどが並ぶ画面が現れます.
Easy EDAにKiCadファイルを読み込む
KiCadファイルを読み込むのは簡単です.
Import KiCadを選択して,zipファイルをアップロードするだけです.
ファイルが読み込めました.回路図は問題ありませんでした.

フットプリントもこのように問題ありません.

Top Assembly Layerを非表示にするとこんな感じです.

3D のボタンをクリックすると,このように基板の完成形を見れるので,時折チェックします.
USB Type-C への変更
回路図エディタを開き,Powerの部分を変更します.

元のPowerにある部品はそれぞれ
- J1: USB Micro-B コネクタ
- U1: 三端子レギュレータ
- C1/C4: チップコンデンサ
となっています.このうち,USBコネクタと三端子レギュレータをType-C仕様に変更します.
画面上部のICマークをクリックすると,”Device/Reuse Block”が開くのでUSB ConnectorsのType-CからFemaleのフィルタをかけてJLCPCBのストックに残量の多いものを選択(Place)します.

すると,以下のようなシンボルが表示されて図面上に配置できるようになります.
フットプリントのページで,Import Changes from Schematicを選択すると,回路図で配置したパーツが反映されます.
コネクタを適切に配線するため,まずはコネクタの仕様を把握します.
USB Type-C
私が前項で見たのは以下のコネクタです.

SHOU HANという企業のもので,安価かつJLCPCBに大量のストックがあります.
USB Type-Cは,皆さんご存じの通り表裏の制約がありません.それは,コネクタの仕様で配線が点対称になっているからです.
今回具体的な配線が必要となるのは以下の6線です.
- 電源のGNDと$V_{BUS}$ 2本
- $V_{BUS}$への給電判断に不可欠なCC 2本
- データ転送用のDPとDN 2本
CCの部分には$5.1kΩ$の抵抗が必要となります.コネクタと同様に抵抗を選択し,配線を行います.

スイッチ・LED・I²Cの掃き出し
先行事例を参考にしながら,RESET・BOOTのスイッチと,Raspberry Pi PicoにもついているLEDを配置します.
加えて,SSD1306系のOLEDディスプレイを配置しやすいようなI²C用の配線の掃き出しを行います.
その結果が以下の通りです.

既存パーツの割り振り
パーツは基本的に変更しませんが,全く同じ型番のパーツでAssemblyの依頼ができることは稀でしょう(全く同じ在庫は揃っていないと考えるのが普通).
在庫に無いものを選択すると発注出来ないのでDevice Standardizationからパーツが利用可能かどうか調べます.

赤く表示されたパーツは何かしらのエラーがあるものです.これらを解消すると緑のアイコンになります.
フットプリント
USB Type-cに対応させるため,元からあったコネクタを取り除き,ガイドの通りに回路を変更していきます.
独自でフットプリントの配線を行う際は,RP2040 を使用したハードウエア設計$^{(9)}$の記述に注意します.
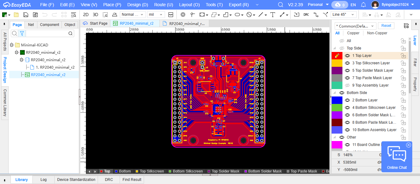
完成したものがこちらです.

DRCで配線のチェックを終えたら,上のツールバーからOrder→Order PCBを選択してJLCPCBに発注をかけます.
JLCPCBへの発注
JLCPCBがガーバーファイルを読み終えると,以下のような画面になります.PCBのレイヤ,大きさ,発注枚数,加工方式,厚さ…などなどを設定します.
そして,今回は下方にあるPCB Assemblyのトグルをオンにして,指定を行います.

Assembly Sideにある通り,アセンブリは表面・裏面・両面から選択できます.製造過程が大幅に複雑になるため,両面は価格が上がります.
進めていると,BOMファイルなどをアップすることを要求されます.こちらは配線画面に戻って,ファイルをExportしてからアップロードします.

配置が適切にできているかどうかチェックを終えたら,支払いを済ませて発注します.
着弾
到着した現品がこちらです.

USB Type-C経由でPCに接続したところ,問題なくフラッシュ・メモリとして読み込まれました.

Lチカ用テストコードを書き込んだところ,しっかり緑のLEDが点滅しているので問題なく動いている事が分かりました.

締め
JLCPCBでAssemblyを依頼してみました.今回Raspberry Pi Pico相当の基板を5枚作ったところ,合計¥6,211,単価約¥1,240という高級基板となりました.自分の生産能力やパーツ購入の手間などを考えるならば,Assemblyで注文した方が良い場合も多そうです.
参考文献
(1) GitHub ArtifactNoise/AN-221 @nonNoise: https://github.com/ArtifactNoise/AN-221
(2) PR2040を使ったオリジナルのRaspbery Pi Pico自作ボードが正常に動作しました!!: https://kohacraft.com/archives/202210190830.html
(3) Raspberry Pi Datasheets: https://datasheets.raspberrypi.com/
(4) 【自作キーボード / 電子工作】ミニマクロパッド『SnapMate』の製作。オンボードRP2040搭載の回路や基板設計について!: https://burariweb.info/electronic-work/mini-macropad-snapmate.html
(5) 【電子工作 / PCB】初めてのRP2040を使った基板設計。テスト回路を組む際に使える最小構成で組んだRP2040ブレークアウトボードの製作!: https://burariweb.info/electronic-work/rp2040-breakout-board.html#RP2040
(6) Qiita JLCPCBに全部してもらった話(PCBAをした話)@Forest1717: https://qiita.com/Forest1717/items/ae2914ec7ff8c6206441
(7) ブラウザで基板設計できるEasyEDA入門 その1 雑に作る: https://lang-ship.com/blog/work/easyeda-1/
(8) EasyEda Import KiCAD: https://docs.easyeda.com/en/Import/Import-KiCAD/
(9) RP2040を使用したハードウエア設計 RP2040マイクロコントローラーを使用したボードと製品のビルド: https://datasheets.raspberrypi.com/rp2040/hardware-design-with-rp2040-JP.pdf
(10) ブラウザで基板設計できるEasyEDA入門 その2 回路図: https://lang-ship.com/blog/work/easyeda-2/#toc1

